Academic Outputs

Academic Outputs

img

Skills deployment for a ‘just’ net zero energy transition

February 2022

Authors: Rachel Bray, Adolfo Mejía Montero, Rebecca Ford

img

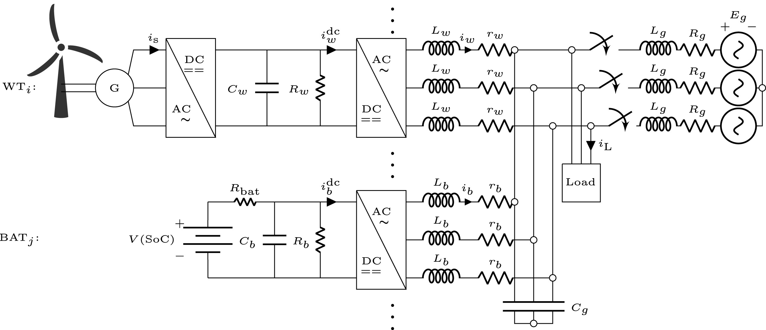
Model-based two-layer control design for optimal power management in wind-battery microgrids

January 2022

Authors: Pablo R. Baldivieso-Monasterios, George C. Konstantopoulos, Anton…

img

Demand-Side Management in a Micro-Grid with Multiple Retailers: A Coalitional Game Approach

January 2022

Authors: Fernando Genis Mendoza; Pablo R. Baldivieso-Monasterios; Dario Ba…

img

What can past examples teach us about the rollout and scale-up of smart energy systems?

September 2021

Authors: Callum Rae, Sandy Kerr, M. Mercedes Maroto-Valer

img

Decentralised nonlinear MPC for grid-connected microgrids with preview information

July 2021

Authors: Pablo R. Baldivieso-Monasterios and George C. Konstantopoulos

img

Spatio temporal mapping of local areas for engaging communities in the planning of smart local energy initiatives

June 2021

Authors: Gupta, R, Jimenez Moreno, P, Donastorg Sosa, A and Devine Wright…

img

Multiscale design for system-wide peer-to-peer energy trading

May 2021

Authors: Thomas Morstyn, Iacopo Savelli, Cameron Hepburn

img

Optimal Operation of a Hydrogen Storage and Fuel Cell Coupled Integrated Energy System

March 2021

Authors: Oscar Utomo, Muditha Abeysekera, and Carlos E. Ugalde-Loo

img

Drivers of convergence: The role of first- and second-nature geography

February 2021

Authors: Theodoros Arvanitopoulos et al.

img

Grid-Supporting Three-Phase Inverters with Inherent RMS Current Limitation Under Balanced Grid Voltage Sags

November 2020

Authors: S. Dedeoglu; G. C. Konstantopoulos; and A. G. Paspatis

img

Practical learnings from deployed Smart Local Energy Systems: technical barriers to scale-up

October 2020

Authors: Callum Rae, Sandy Kerr, M. Mercedes Maroto-Valer

img

Two energy suppliers are better than one: Survey experiments on consumer engagement with local energy in GB

October 2020

Authors: Watson, N.E.; Huebner, G.M.; Fell, M.J.; and Shipworth, D

img

The long-term effect of renewable electricity on employment in the United Kingdom

September 2020

Authors: Arvanitopoulos, T. and P. Agnolucci

img

Upscaling Smart Local Energy Systems: A Review of technical barriers

July 2020

Authors: Callum Rae, Sandy Kerr, M. Mercedes Maroto-Valera

img

Stability analysis and nonlinear current-limiting control design for DC micro-grids with CPLs

May 2020

Authors: Andrei Braitor; George C. Konstantopoulos; Visakan Kadirkamanatha…

img

Deep Reinforcement Learning Based Energy Storage Arbitrage With Accurate Lithium-ion Battery Degradation Model

April 2020

Authors: J. Cao; D. Harrold; Z. Fan; T. Morstyn; D. Healey; and K. Li

img

Granular technologies to accelerate decarbonization

April 2020

Authors: Wilson, C., A. Grubler, N. Bento, S. De Stercke and C. Zimm

img

Bringing rigour to energy innovation policy evaluation

February 2020

Authors: Pless, J., Hepburn, C. & Farrell, N.

img

Energy modellers should explore extremes more systematically in scenarios

February 2020

Authors: McCollum, D.L., A. Gambhir, J. Rogelj and Wilson, C

img

Business models and financial characteristics of community energy in the UK

February 2020

Authors: Tim Braunholtz-Speight et al.

img

Current-limiting droop control design and stability analysis for paralleled boost converters in DC micro-grids

January 2020

Authors: A.C. Braitor; G. C. Konstantopoulos; and V. Kadirkamanathan

img

Integrating P2P Energy Trading with Probabilistic Distribution Locational Marginal Pricing

December 2019

Authors: T. Morstyn, A. Teytelboym, C. Hepburn and M. D. McCulloch

img

Energy Innovation for the twenty-first Century: Accelerating the Energy Revolution

December 2019

Authors: Skea. J., Hannon, M. J., van Diemen, R., Rhodes, A., Gazis, E., H…

img

Community versus local energy in a context of climate emergency

September 2019

Authors: Patrick Devine-Wright

img

Future of Gas Networks: The role of gas networks in a low carbon energy system

August 2019

Authors: Meysam Qadrdan; Muditha Abeysekera; Jianzhong Wu; Nick Jenkins; B…

img

Grid Influenced Peer-to-Peer Energy Trading

August 2019

Authors: Tushar, Wayes et al.

img

Online Pricing via Stackelberg and Incentive Games in a Micro-Grid

August 2019

Authors: Mendoza FG; Bauso D; and Konstantopoulos G